Василий
всё, я понял что я дурак))
не, просто ошибся, у нас же ламповый чат)
Andrey
нативный nfs у zfs какой версии?)
Василий
нативный nfs у zfs какой версии?)
а разве нативный нфс не только у солярки?
Василий
*на зфс в смысле
Владимир
а разве нативный нфс не только у солярки?
на сколько я знаю нет, но пользоваться им так и не довелось
Василий
хм. просто на солярке походу только он и остался
Andrey
да вроде и под линуксом тоже есть, чето не хочется отдельный демон ставить
Василий
Владимир
zfs get sharenfs rpool
Владимир
это параметр в NFS
Василий
zfs get sharenfs rpool
так я и говорю, что в солярке только так
Василий
раньше был еще как в линухе способ, но в 11 версии он не работает
Василий
как не понял
zfs sharenfs только. в фре я шарил через отдельную тулзу
Владимир
ммм, ну я вообще этим не пользовался
nikolay
так я и говорю, что в солярке только так
через /etc/exports нельзя пошарить?
Владимир
Andrey
Тоже пытался найти подбную инфу под kvm, везде все по разному пишут. толком пока не нашел влияние размера блоков vm,fs, zfs на IOPS
судя по тому, что удалось накопать slog/arc/l2arc сильно лучше помогают, чем все эти пляски с размерами блоков
nikolay
конечно можно
я про солярку
nikolay
судя по тому, что удалось накопать slog/arc/l2arc сильно лучше помогают, чем все эти пляски с размерами блоков
slog поможет если много синхронной записи. l2arc тоже не все будет кэшировать, так что в очередной раз напишу - все зависит от характера вашей нагрузки
Владимир
я про солярку
понятия не имею тогда)
Василий
конечно можно
А вот кажется и нет
Владимир
А вот кажется и нет
ты про солярку конкретно?
Владимир
просто в линуксе точно можно
Василий
ты про солярку конкретно?
Ну да. Он же про солярку спрашивал. В линухе да, там два варианта походу
Ilya
я сравнивал на 10 Gbe на нетапах перформанс внутри гостевых ос на датасторе выданной по iscsi и по nfs - на nfs показатели по iops выше, а latency ниже или сравнимое..
Возможно это ещё и потому, что в нетаппе ЛУН - это файл, то есть, ещё один уровень абстракции поверх WAFL
Vladimir
на m2 samsung полет нормальный. год уже
Имел ввиду сильного падения производительности.
bishop
Здраствуйте однако,планирую собрать nas. З кэшем и лог дисками для масива,так как вопрос по кэшу я розабрал,но не по логах. Если не ошибаюсь то это для записи кэш,вопрос втом какие ссд ставить для него?
Anonymous
Да, для записи. Тоже собираюсь. Та обычный SSD буду ставить.
bishop
Да, для записи. Тоже собираюсь. Та обычный SSD буду ставить.
логи убьют диск быстро,я так понял нужно серверные
Владимир
логи убьют диск быстро,я так понял нужно серверные
Мускул с темп директорий на диске и кучей запросов с тем таблицами, огромными сортировка и и тп
Владимир
я так понял спокойно тянет это всё?
Наоборот, быстро убивает если диск не серверный
bishop
Наоборот, быстро убивает если диск не серверный
а что по обёму для кэша и логов брать?
Владимир
а что по обёму для кэша и логов брать?
Зависит от того какой у тебя объем кеша и логов)
Vladimir
как просто протестировать производительность ZFS ? Аналог такой комманды: fio --rw=randread --size=5g --io_size=10g --blocksize=4k --fsync=1 --iodepth=1 --direct=1 --numjobs=32 --group_reporting --stonewall ... А то оно direct игнорирует и из кэша читает
George
выключить кеш
только на мету оставить да нужно)
Владимир
Владимир
а в целом да, на мету конечно лучше оставить
Vladimir
поигрался с /sys/module/zfs/parameters/zfs_arc_max , /sys/module/zfs/parameters/zfs_arc_min что-то не получилось размер уменьшить, arc_summary всё-равно показыват 64gb и скорость чтения ~ 2Gb/sec
Владимир
Вырубки кеш у волюма)
Vladimir
не нашёл как
Vladimir
кому интересно: сравнение 6xNVMe в разных конфигурациях (без ZFS)
Vladimir
и с ZFS (ни кэш не отключил, так что сравнивать нельзя)
Vladimir
Vladimir
выхлоп fio было бы интересней глянуть
если интересно - могу дать
Vladimir
кому интересно: сравнение 6xNVMe в разных конфигурациях (без ZFS)
NFS расшарен с async, wdelay - так что тоже немного нечестно
Arahnale
кому интересно: сравнение 6xNVMe в разных конфигурациях (без ZFS)
весьма интересный тест. а можете рассказать подробнее? какие объемы и почему два графика на каждый тест? это как раз и связано с объемами или включен параметр sync?
Vladimir
скриптик для fio: for j in randread randwrite read write;do for bs in 4k 1m;do fio \ --name ${name}_${j}_${bs} \ --directory $loc \ --eta-newline=5s --rw=${j} --size=5g --io_size=10g --blocksize=${bs} --ioengine=libaio \ --fsync=1 --iodepth=1 --direct=1 --numjobs=32 \ --runtime=${t} --group_reporting --stonewall \ --fallocate=native \ --output=${name}_${j}_${bs}.json \ --output-format=json+ done done
Arahnale
block size менял - 4кб и 1мб
о как, занятно.
Arahnale
что-то мне подсказывает, что есть корреляция между заполненностью диска и его производительностью. NVME показывает высокую производительность на первых 50-100Гб.
Vladimir
NVME были полность пустые
Vladimir
отформатированы nvme format
Arahnale
понял, спасибо.
Vladimir
сверху 1мб снизу 4кб
Arahnale
Vladimir
подписал справа название параметра
Arahnale
подписал справа название параметра
пардон, невнимательность.
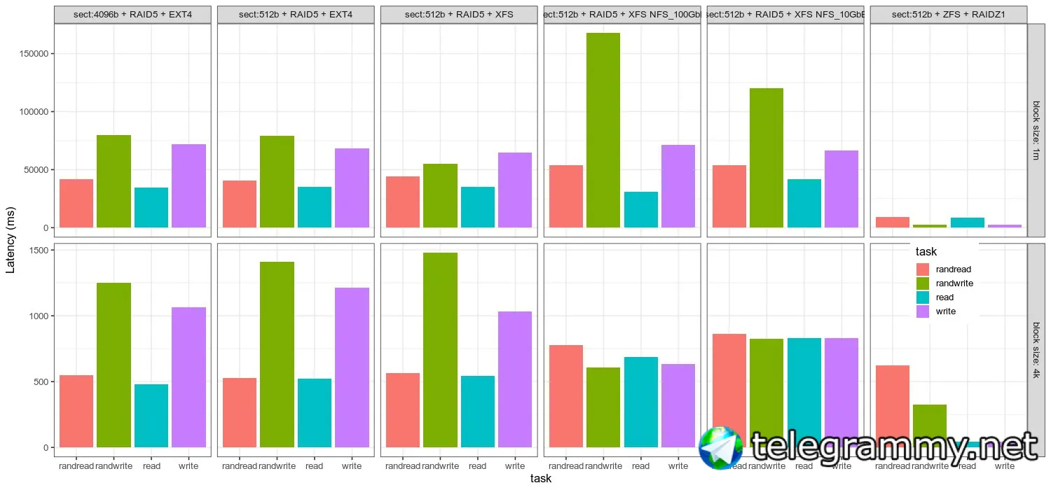
Vladimir
и общая latency
Vladimir
и общая latency
в микросекундах
bishop
NVME были полность пустые
заполни полностью и скин скрины тесту
Vladimir
заполни полностью и скин скрины тесту
времени нету больше тестировать - надо обратно всё в рабочее состояние приводить
f1gar0
подскажите как изменить ashift у готового пула
f1gar0