Pavel
Респект таким парням и девчонкам
void *
ыгы
л
Soulseeker
Гвозди бы делать из этих людей Не было бы на свете крепче гвоздей.
Alexey
Я думаю, что из них бочки для бухла получатся неплохие, в этой области ценится хороший дуб
Anna
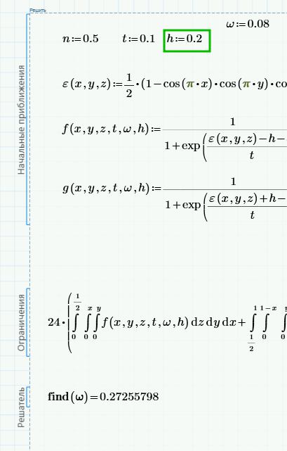
Ребятушки, а есть кто разбирается в МатКаде? Как там запихнуть, чтоб уравнение считалось по списку значений?
Anna
надо решение уравнения по 52 значениям h =( Каждый раз подставлять не вариант
Вроде бы у h через равно в фигурных скобках массив указывается и всё
Anna
я либо дурак, но фигурные скобки когда ставишь получается так
Anna
Это в математике через фигурные скобки список рулит =(
пробуй друггие скобки
Anna
другие скобки (прямоугольные) дают ему матрицу, которую он засовывать в уравнение отказывается
квадратные вроде означают [от..до]
Anna
квадратные вроде означают [от..до]
так тоже не хочет =( пыталась
Я его использовал давно и это неправда
Anna
Ваще дрова какие то этот Маткад. Но надо внезапно на нем считать
Используй Python и шли всех
Daria
При создании фото ни одно животное не пострадало
Daria
Ой, то есть, здравствуйте
Anna
Используй Python и шли всех
😄 думаю с Питоном меня научник уже не поймет, чего я ему показываю
Ой, то есть, здравствуйте
Здравствуйте. С чем пожаловали?
Daria
Здравствуйте. С чем пожаловали?
Могу набросить с утра пораньше😁
Набрасывай, я готов
https://vk.com/wall-29559271_105519
На фотохостинге «Шаттерсток» есть замечательная фотография: «Прекрасная женщина, которая ремонтирует печатную плату пайкой». http://www.shutterstock.com/pic-204001492/stock-photo-beautiful-woman-repair-soldering-a-printed-circuit-board.html Ладно, опустим откровенно сексистский заголовок о том, что плату ремонтирует именно прекрасная женщина. Вероятно, по мнению авторов фотографии, такой чике следует не пайкой заниматься, а чем-то покруче. Ладно, опустим то, что девушка чинит материнскую плату компьютера не профессиональной паяльной станцией, а самым дешёвым инструментом за двести рублей. Опустим даже то, что она делает это не с той стороны платы. Но почему она держит паяльник не за ручку, а за жало? Это самая горячая часть инструмента, она нагревается до 200-300 градусов. Думаю, это неэффективный и очень болезненный способ пайки. Даже если ты прекрасная женщина.
Кот
она не человек просто )
Android: For people who like to update their software to the latest version by buying new hardware.
Aragaer
этот идиотский автологин для метро чота у меня начинает дома пытаться куда-то законнектиться
SnuppZone
SnuppZone
в чем разница может кто подсказать?)
Кот
ну как бы возможность создать код дял работы с БД и средства (может визуальные) для работы с БД это разные вещи
Кот
типа SQL Server Manager - это средство для работы с БД, но я и без него могу создать код
Первое скорее LYNQ, а второе уже для работы с базами по типу myphpadmin(прастихоспаде)
SnuppZone
значит куплю проф версию)
А ну купил ультимэйт!!! Детям в африке есть нечего
Кот
арзитект же, моделирование данных, все дела, bpwin erwin ))
SnuppZone
Кот
что это за такую цену?
Кот
ой
SnuppZone
от эмбаркадеро
Кот
дельфи, ностальгия
Там же ещё новая книга по обжект паскалю(прастихоспаде) в комплекте
SnuppZone
ТрудоВыебудни
не наааадо, давай хотя бы це решётку
Alexander
Делфи
SnuppZone
не наааадо, давай хотя бы це решётку
нии, много рабочего софта переписывать нихочу
Alexander
За штукарь баксов
Alexander
Alexander
Ужас нах
Кот
мне нравилось когда-то на дельфи программировать )
Кот
в связке с интербэйз
шёл 3007 год. Учёные уже 100 лет как отчаились искать где бы приобрести лицензию от эмбаркадеро
SnuppZone
если есть дешевле лицуха то буду рад ссылке)
Corias ☭
Наебалово. Не про версмя умеет всё.
Alexander
я тотал командер ваще юзаю
Alexander
мне норм )
D.S.
Наебалово. Не про версмя умеет всё.
Никто и не говорит, что покупая про ты получаешь что-то более функциональное, не гони. Там явно описано что именно есть в про - 1) без рекламы, 2) более кастомизабельный интерфейс в плане скина, 3) этим выражаешь респект разработчикам и донатишь
Vitaly
Технач, албанский вопрос - почему до сих пор нет гипервизора встроенного в биос ?😊
D.S.
Телнет хотеть?
D.S.
А браузер и все такое?
D.S.
Тогда тебе курить asus express gate, на многих материнках есть)
D.S.
Сто лет не пользовал его, со времен андроида 2.2
D.S.
Обхожусь рут эксплорером везде)
Pavel
нет рекламы там
D.S.
Вот это все, что дает платный ес, ничо выдающегося
Павел
пацаны, хелпуйте
D.S.
Он попросил зигохелп
Dima
Man
Olga
F1
Кристина Добрынина 🦈✨
ПОМОГИТЕ