Andrey
Подскажите,у меня карта без сетевого оборудования,я хочу заказать внешний WiFi адапптер будет ли видеокарта переводится в режим мониторинга и т.д?
Andrey
Я понимаю что вопрос тупой
Andrey
Моя видеокарта не может поделючиться к вифи так как нету сетевого оборудования
Andrey
По кабелю интрнет
Anonymous
Anonymous
собна обсалютно та же поебень
✙ DarkKC ✙
хм
Anonymous
щас аже порь не определят
✙ DarkKC ✙
попробуй в других режимах поставить, у меня вроде в винусб зашёл, но это не точно
✙ DarkKC ✙
ммм. или сериал...
✙ DarkKC ✙
я принтак перешивал с космического бодуна, не помню :(
Anonymous
ммм. или сериал...
галку edit надо жать?
Djclive
Всем привет подскажите каналы интересные по ардуинке где показывают проэкты описывают и так далее
Djclive
Скажем так не чаты а именно информационные посты
Anonymous
та я ибу чи що?
Anonymous
ебанул сериал
Anonymous
вроде определяет порт
Anonymous
но все так же хуйня что и была
✙ DarkKC ✙
ну попробуй поперебирать варианты, я чесслово не помню
✙ DarkKC ✙
но у меня заборолось именно так
Anonymous
да я все перебрал
Anonymous
не пашит(
Anonymous
шдяпа бле(
✙ DarkKC ✙
ну сорян, помох чем мох...
́🇷🇺
в линухе попробовать?
Anonymous
ну сорян, помох чем мох...
ну хоть на том спасибо)
Anonymous
в линухе попробовать?
монитор отдал( не запустить пеку
Adel
Вечер добрый
Adel
Шарит кто в матане?
Anonymous
Шарит кто в матане?
а ты тут как оказался-то
́🇷🇺
2+2=4
Anonymous
2+2=4
а теперь анализируй
́🇷🇺
а теперь анализируй
не. дальше не мой уровень
Adel
Крч нужно найти площадь графика ln(cosx) 0<=x<=π/6
Adel
Интеграл брать не варик
Adel
Он получается ваще слишком лютый на)(уй
Adel
Есть какие-нибудь идеи как обойти?
Adel
вольфрам?
Так мне вручную посчитать надо будет, вольфрам щас через интеграл сделает
Adel
я уже пробовал взять интеграл, там (ука комплексная i появляется
Adel
√-1 на)(уй
Adel
(((
Adel
Adel
Я пример то с ошибкой перепишу ахаха
Adel
А можно фулл
Anonymous
Опа
плоти
Anonymous
вообще ща в другом месте чекну
Anonymous
скачай кряк вольфрама с 4пидора
Adel
Ща
Anonymous
Ща
ln(cosx) from 0 to π/6 а туда уже это вписывай
Adel
Ни)(уя
Adel
Спасибо
Adel
Adel
А чекнуть можно как это вышло?
Adel
А как
Anonymous
нижк будет интеграл
Anonymous
и там кнопка
Adel
Там потом это открывается
́🇷🇺
кто этот вольфрам пишет?
Th0r
ну считай
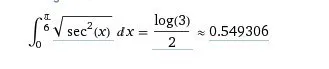
А вроде написано же "arc length"
Adel
Крч я так и не нашел как расписать :(
Adel
Как придти к тому что ln(cosx) = √sec²x
́🇷🇺
А вроде написано же "arc length"
не. нашел. https://en.wikipedia.org/wiki/Stephen_Wolfram
Th0r
не. нашел. https://en.wikipedia.org/wiki/Stephen_Wolfram
Чо? Я говорю им надо площадь найти, а вольфрам им выдает помимо формулы еще и описание "длина дуги", а они формулу крутят вертят
Th0r
Adel
Можешь объяснить как интеграл взять от этой функции?
Dmitry
кажется я нашёл, где люди делают ардуино-стайл схемы: https://www.tinkercad.com/learn/circuits
Adel
лять, опять эта ссанина
Adel
интеграл это единственный варик?