Aidar
n с клавы, скорее всего
CyberЖабка
щас напишу крч
CyberЖабка
def resh(n): if n < -4: n = n ** 2 * (n + 1) elif -4 <= n and n <= 5: n = n * 3 - 7 elif n > 5: n = 3 - 5 * n return n n = input('Введи n: ') n = resh(n) print(n)
CyberЖабка
Можно было короче конечно, но, чтобы ты разобрался, вот так.
Dim
прога застревает на этом участке conn, addr = udp_socket.recvfrom(1024)
Mihail
как в pytest получить список url-запросов с локалки? Мне нужно, чтобы понять, что из другого потока точно произошёл запрос. Причем он будет происходить как longpolling c чужой библиотеки. Поэтому, вряд ли получится как-то в коде другого потока это зафиксировать.
Андрей
Всем привет, задача в том чтобы настроить перенаправление сообщений из одного тг канала в другой, с возможностью выставления фильтров, для частичного или полного отсеивания рекламного контента
Dim
вот так получилось #<<<<<<<<<<<<<<<<<<<<<<< timeout=time.time()+1 conn='' while((conn=='') and (time.time()<timeout)): try: conn, addr = udp_socket.recvfrom(1024) except error: #print("No connections are waiting to be accepted") pass if len(conn)!=0: print 'server addr: ', addr print 'server answer len: ', len(conn)
Dim
четыреххлористый 2-3 метил бутил 4-3 (изо)-диаминофосфат пропитон
PewPew
Курсы на степике. Лучше ничего нет
Kamoliddin
stepic за ним udacity и в конце добить Лутцом
Kamoliddin
Udacity бесплатный?
есть бесплатные курсы
PewPew
есть бесплатные курсы
Можешь какой рекомендовать?
Kamoliddin
да там 1 курс всего по питону
Kamoliddin
там еще по гиту и про web в целом
>|<
Какую библиотеку лучше использовать чтобы динамически визуализировать двоичное дерево?
Скоков Дмитрий
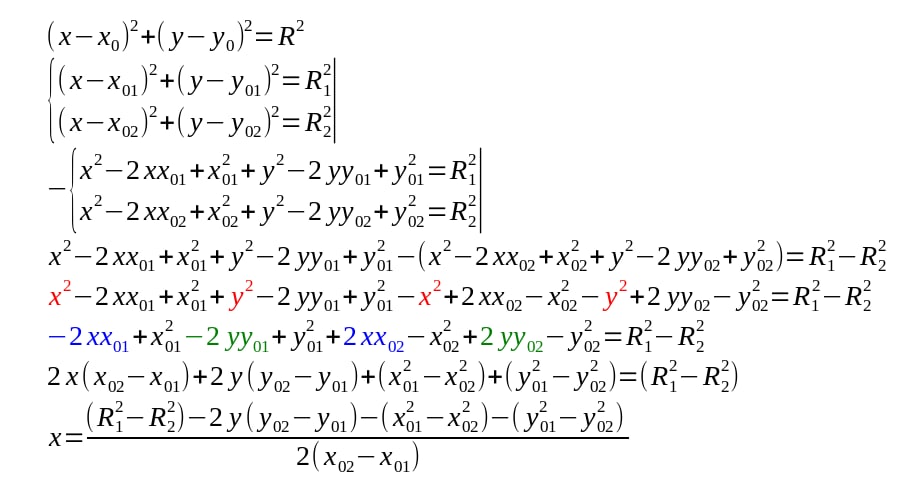
для любителей математики ищу точки пересечения двух окружностей
Скоков Дмитрий
но что-то в знаменателе х2-х1 мне не нравится
CyberЖабка
Ага, и тебе
CyberЖабка
поч
skywywolker
люди добрые кто поможжет
Ivan
люди добрые кто поможжет
напиши пока @Mus_20oo
Скоков Дмитрий
тоже решил нагуглить после неудачной попытки решают примерно так: отнимают первое уравнение из второго (что я и делал), получают уравнение прямой далее в системы объединяют уравнение прямой и одной из окружностей и решают в моем случае в микроконтроллере это решать не нужно было, поэтому +/- полсекунды при решении моим &quot;простым&quot; способом тоже устроило бы но, видимо, что-то у меня со внимательностью не очень при решении было, и где-то что-то потерялось при умножении многочлена на многочлен
Что?
Здравствуйте как игнорировать в строке &quot;\&quot;? Без &quot;\\&quot;
Loork
Всем привет! Нужна помощь.В цикле читаются кадры с камеры, а затем вызывается функция find_faces(rgb_small_frame) для поиска лица на кадре и его занесение в БД. На админке транслируется видео с камеры, но воспроизводиться плохо, скорее всего из-за того, что функция find_faces(rgb_small_frame) жрёт много ресурсов. Можно ли в этом случае использовать библиотеку asyncio, чтобы два процесса, а именно чтение кадра и поиск лица работали одновременно, то есть в разных потоках и параллельно, и чтобы не нагружали ресурсы? Нужно просто оптимизировать процесс
Сергей
Здравствуйте как игнорировать в строке &quot;\&quot;? Без &quot;\\&quot;
Это как и для чего? А то непонятно. Пример есть, что надо?
Loork
Кто-то разбирается в модуле Cython?
Ꭰіᴀнᴋᴀ
Найти произведение элементов массива целых кратных чисел 7. Размерность массива – 15. Заполнение массива осуществить случайными числами от 10 до 50. Подскажите, пожалуйста, как делать задачу. Никак не могу понять(
Ꭰіᴀнᴋᴀ
За что я должна платить деньги, если результат не выводит?
rukigaki
Возможно у неё не вывело результат, потому что она не в интерактиве код вводила)
rukigaki
Заметь именно русский скинул тебе готовое решение, до которого ты даже додуматься не смогла, хотя твой вопрос из разряда &quot;А как мне вывести Hello World&quot;
rukigaki
Ладно, будут вопросы касательно python, задавай
Vladimir
Не надо переходить на личности.
Loork
Всем привет. Нужна помощь в парсинге гугл новостей. Как можно спарсить заголовки статей и ссылки? Значение атрибута jslog всегда разное
Anonymous
9
Сергей
Вот как я смог сделать. Чисто чтобы попробовать. Я сам учусь.
#Парсер новостей с Google import requests from bs4 import BeautifulSoup url = &#39;https://news.google.com/topics/CAAqKAgKIiJDQkFTRXdvSkwyMHZNR1ptZHpWbUVnSnlkUm9DVWxVb0FBUAE?hl=ru&amp;gl=RU&amp;ceid=RU%3Aru&#39; page = requests.get(url).text soup = BeautifulSoup(page, &quot;html.parser&quot;) h3_tags = soup.find_all(&#39;h3&#39;) for item in h3_tags: parent = item.parent news = parent.find(&#39;a&#39;, class_=&#39;DY5T1d RZIKme&#39;) print(item.text) good_link = &#39;https://news.google.com/&#39; + news.get(&#39;href&#39;)[2::] print(good_link) print()
Иосиф
Привет кто умеет делать ботов на Python ?как создать бота в телеграмме что бы он отслеживал людей из твиттера и сразу мне докладывал о их них новых подписках твитов и так далее?
Shukhrat
1. for i in os.listdir(dir): 2. sub_directory = os.path.join(dir,i) что выполняют эти строки ?
Vladimir
1. for i in os.listdir(dir): 2. sub_directory = os.path.join(dir,i) что выполняют эти строки ?
Что-то считывают, что-то присваивают. Какая то муть :)
Коварная
1. for i in os.listdir(dir): 2. sub_directory = os.path.join(dir,i) что выполняют эти строки ?
1 - цикл. os.listdir() получает список файлов в указанной директории. Возвращает list, вот по нему и проходимся 2 - os.path.join &quot;соединяет&quot; путь из переменной dir + переменная i. Здесь и так всё понятно. Но надо учиться пользоваться гуглом
Shukhrat
не получается установить модуль cv2
Aleksandr
он по другому называется вроде, раньше cv2 был
Aleksandr
pip install opencv-python
Жорно
Ребят, привет, я тут в яндекс.практикуме учусь, возник затык с задачей. Поможете?
Vladimir
Ребят, привет, я тут в яндекс.практикуме учусь, возник затык с задачей. Поможете?
Здесь не принято долго рассусоливать. Просто пиши с чем проблема, и что уже пробовал.
Жорно
Мне надо рассчитать среднее арифметическое от суммы на количество переменных. Код выполняется, но вместо вывода решения один раз оно выводится столько же, сколько переменных, то есть 48 вместо 1
Жорно
Вот код: payers = [75, 48, 65, 68, 74, 67, 71, 65, 90, 85, 79, 81, 87, 61, 73, 77, 76, 70, 79, 61, 63, 67, 89, 65, 73, 71, 78, 73, 61, 85, 62, 86, 80, 79, 68, 76, 87, 85, 71, 65, 75, 70, 61, 83, 65, 86, 61, 71] purchase_amount = 5 money = [] for index in range(len(payers)): money.append(payers[index] * purchase_amount) (sum(money)) average_income = [] for i in payers: average_income.append((sum(money) / (len(payers)))) print(average_income)
Никита
Ты в цикле считаешь много раз его
Никита
print(sum(money)/len(payers)) Если я правильно условие понял
Жорно
ну вот я понимаю, что ошибка есть, а какая ошибка - еще не понимаю
Никита
print(sum(money)/len(payers)) Если я правильно условие понял
Убери последний цикл и вот это попробуй
Никита
Если не навру. Там разве решение не print(sum(payers)/len(payers)*purchase_amount) Вместо всего того, что ты написал
Жорно
Если не навру. Там разве решение не print(sum(payers)/len(payers)*purchase_amount) Вместо всего того, что ты написал
Часть решения в одной задаче, а среднеарифметическое в следующей, но если бы это была одна задача, то такое решение подошло бы, судя по всему
Roman рулонный Swag
Привет, не очень люблю спрашивать, но всё-таки. У меня есть функция в каком-нибудь Alfa.py и я хочу вызвать эту функцию через django, нажимая кнопочку. Alfa.py: def owl(param1: Obj_X,param2: Obj_Y): x = param1.someone.cheese() y = param2.something.do_something() .... views.py: def wood(): z = Alfa.owl(Obj_X,Obj_Y) return z
Roman рулонный Swag
так вот, проблема какая: Когда я вызываю функцию через views выдаёт какую-нибудь ошибку в духе : Атрибут еррор: у &quot;крыса&quot; нет атрибута &quot;сыр&quot;
Roman рулонный Swag
ну это я так, примитивненько
Roman рулонный Swag
&quot;крыса&quot; пускай будет Obj_X.rat.cheese()
Roman рулонный Swag
так-то оно работает, но вот когда я пытаюсь через другой файл,типа views.py вызвать функцию, а не через Afla.py - выдаёт ошибку
Roman рулонный Swag
Сам вопрос: что за пипец и как это решить, я туплю
Aleksandr
привет, вопрос по питоньим енамам. я правильно понимаю, что невозможно задать енаму значения в коде, а потом еще накидать программно другие значения из конфига? class ColorIndexed256(Color, enum.Enum): BLACK = 0x000000, 0 RED = 0x800000, 1 ... def __init__(self, hex_value: int, code: int = None): super().__init__(hex_value) self._code: int | None = code ... class Index: ... def _load_from(self, config: t.Dict): for color_def in config[&quot;colors&quot;]: color = ColorIndexed256(color_def[&quot;hex_value&quot;], color_def[&quot;code&quot;]) # здесь ^^^ TypeError: Cannot extend enumerations self._code_map[color_def[&quot;code&quot;]] = color то есть кейс какой - хотелось бы иметь возможность для некоторых значений использовать автодополнение IDE, и при этом грузить программно остальные (доступные через Index). или дофига хочу?)
Si
Почему может вместо смайликов выдавать знаки вопросов ? в aiogram. В какую сторону копать, выдает только на сервере, на компе тестировал все ок
Ошибка 7и %
Почему может вместо смайликов выдавать знаки вопросов ? в aiogram. В какую сторону копать, выдает только на сервере, на компе тестировал все ок
возможно кодировка сервера latin-1 а не utf-8. Хотя скорее всего дропнуло бы ошибку связанную с кодировкой. Но всё же - проверь кодировку сервера
Charly
Привет! Почему внутри VirtualBox у меня очень долго запускаются скрипты(пробовал и напрямую и через командную строку и через батник). Внутри скрипта запуск софта и его автоматизация действий через pywinauto. На хосте они за секунду запускаются, а внутри виртуальной машины 20-40 секунд или могут вообще не запустится... В чем может быть причина? Уже неделю+ копаюсь и никак не пойму в чем дело... Заранее спасибо за ответ!
Charly
Возможно мало ресурсов выделил для виртуальной машины, возможно твой скрипт криво как-то работает. И попробуй в другой виртуальной машине скрипт запустить, с другой ОС
Сомнительно, что 4 гига и 1 ядро вирты не хватает. Там Скрипт простецкий... Явно что криво, иначе все было бы хорошо. Дело в том что другие скрипты, в которые не нужно запускать проги работают идеально.
Charly
может он из интернета качает что-то, надо скрипт изучать, там может быть что угодно
Та просто автоматизация, аля кликер на пару-тройку нажатий. С интернета ничего не качает.