Stanislav
Этим занимаются разработчики
А юридические документы? Допустим для государства
P
Судя по всему, пришли за нашими питонами
P
@chebyrash
Chebyrash
Вижу
Chebyrash
Кикнул
P
Хотя может человек решил буквально начать с нуля, судя по фото
Aquinary
Axure хорошая вещь
Aquinary
Вот такой прототип для тестового проекта сделал в нём
Aquinary
А это уже перенос в sciter Пришлось повозиться с тем, чтобы работали левые табы и правые субтабы в зависимости от от того, какой левый таб выбран
Aquinary
Там есть возможности так же делать окошко полностью безрамочным и задавать свои области для переноса окна, закрытия и т.д. Очень доволен этой библой
Aquinary
А это то, ради чего всё это и затевается в основном. КейПас меня устраивает на 99% за исключением интерфейса. Но я ещё не готов делать такое %) Честно говоря, даже не знаю, с какой стороны подойти.
Aquinary
Даже не знаю, возможно ли прикрутить обработку kdb к питону или нет
Ilya
Даже не знаю, возможно ли прикрутить обработку kdb к питону или нет
Можно попробовать импортировать библиотеку keepas через c/c++ abi. Посмотреть, как утроен проект keepas, как он разделен по файлам, возможно что работа с kdbx вынесена в отдельную либу. Я бы с этого начал.
Anonymous
IT-Liba Библиотека программиста | Programmer Library Скачать книги бесплатно Download Books Free pdf djvu epub https://t.me/itliba
კაცი
го минусить)
Oleksandr
SUBJECT ="Это сообщение для %s %s, по состоянию счета от %s " % (firstname, famname, ts) MESSAGE = msgtext() % (firstname, famname) msg = EmailMessage() msg.set_content(MESSAGE) msg['Subject'] = SUBJECT msg['From'] = '%s <%s>' % ('A',USER) msg['To'] = to_list try: server = smtplib.SMTP() server.connect(SERVER, PORT) server.starttls() server.login(USER, PASS) #server.sendmail(FROM, TO, message) server.send_message(msg) server.quit() Кто то знает, почемк в САБЖЕКТ пробелы съедает?
Anonymous
Всем привет, Кто поможет написать программу которая в один клик будет менять дату на день вперёд? до бесконечности хоть
Oleksandr
Всем привет, Кто поможет написать программу которая в один клик будет менять дату на день вперёд? до бесконечности хоть
что там писать то? гуглишь как прочесть\установить system time, задаешь хоть на день вперед хоть на сто
Vadim
А зачем нужен DRF если можно самому сокет сервер написать? Или там типа под джанго?
енот
зачем писать самому уже написаное?
енот
интересная тема, я как раз такое делаю на ноде сейчас.
енот
я вашу формулировку не понял, извините
енот
предположительный ответ - я пишу многопользовательский сервис
Влад
Кто может рассказать о ИИ на Питоне
Влад
?)
Ilya
Привет. Никто случайно не писал для винды https proxy? С подменой url
Ilya
Может руки кривые, но не смог найти рабочего для винды
Aquinary
Всё идёт по плану
Aquinary
Идеально
Aquinary
Просто идеально
Aquinary
Когда такой яп покрывает все твои потребности
Oleksandr
Люди, кто-то писал нагрузочное тестирование на питоне?
Ruslan
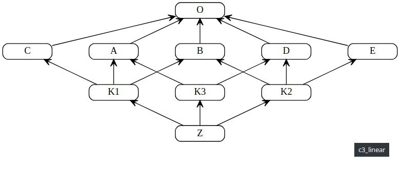
всем привет, нужна помощь. Есть люди понимаюцие MRO в python3
Ruslan
Ruslan
Ruslan
у меня нет никакого порядка разрешения классов. Как это работает?
Ruslan
по картинке должно работать снизу вверх, слева направно
Ruslan
нашел ошибку, всем спасибо
Aleksey
Обращайтесь
Ruslan
Ruslan
Как оказалось это сложнее чем есть на самом деле. Там алгоритм C3 реализован. Чтобы линерализировать в случае ромбовидного наследования классов. За это отвечает метод разрешения объектов(mro)
Александр
Листик-то обязательно было портить такой писанинкой когда то же самое в примерах на ресурсах написано?)
Александр
Через 10 лет глядишь будешь просить на интервью писать тестовое задание на листике)
Александр
Люди, кто-то писал нагрузочное тестирование на питоне?
Питон далеко не лучший инструмент для такой задачи. Посмотри яндекс танк, Gatling
Oleksandr
Питон далеко не лучший инструмент для такой задачи. Посмотри яндекс танк, Gatling
не знаю, я за вчера на locust.io 1000 юзверей логинил, правда долго разбирался, но это потому что я новичёк, и там надо было srp подключить
Lena Kasyanova
Всем, привет. я совсем новичок, поэтому прошу совета - с чего начать изучение Python? Какие есть хорошие книги/курсы/сайты и тп?
Lena Kasyanova
https://t.me/ru_python_beginners там добый Зарт, всем помогает
Спасибо. Пошла задавать вопросы туда)
Lena Kasyanova
https://pythonworld.ru/
Руслан, спасибо за ссылку на ресурс.
Aquinary
Спасибо!
https://drive.google.com/file/d/1-fouGH4nGa3Dta03b5hKPREJkoE6tN9M/view?usp=sharing Архив с очень большим списком книг, касаемых питона.
Lena Kasyanova
https://drive.google.com/file/d/1-fouGH4nGa3Dta03b5hKPREJkoE6tN9M/view?usp=sharing Архив с очень большим списком книг, касаемых питона.
Да, внушительный архив, спасибо. Качаю. Мне пока хватит) Столько всего.
Dmitry
А в питоне треды безопасные?
Chebyrash
А в питоне треды безопасные?
Посмотрите GIL. Это ответит на ваш вопрос
Dmitry
Как я понимаю это сводится к тому может ли другой тред менять чужие данные
Dmitry
Смотрел пристально
Dmitry
Он защищает внутренности интерпретатора. Но какие именно я так и не понял
Александр
Как я понимаю это сводится к тому может ли другой тред менять чужие данные
нет, друг, механизмы синхронизации нужны все равно, т.к не факт что поток в определенный квант времени отработает полностью свою задачу или дочитает(структуру атомарно изменит и т.п)
Александр
GIL больше нужен интерпретатору, увы)
Dmitry
А если поток не успел доделать операцию он гил не отдаст?
Dmitry
Как тогда быть если другим потокам поработать надо? Ведь этот же не доработал до конца
Александр
А если поток не успел доделать операцию он гил не отдаст?
С чего ты взял? Отдаст еще как, потому что у потока может быть очень долгая задача
Александр
В общем там все практически как в системном планировщике, GIL на вроде прокси выступает)
Александр
И ему плевать успел поток что-то доделать или нет
Александр
Поэтому такие места в коде и называют критической секцией
Александр
Так же GIL отпускают (моментально) задачи связанные с сообщением с некоторым асинхронным драйвером(например сетевым). Потоки в таких задачах не имеют недостатков
Dmitry
Если гил опустится то поток заснет на середине. И проснувшись может оказаться что данные которых он ждал изменены/отсутствуют
Dmitry
Как я понимаю вся проблема именно в том, чтобы потоки не могли засыпать/просыпаться в в произвольные моменты времени. Но если гил опускается внезапно, то потоки будут засыпать на полушаге