Dima
member whats
klimi
NOOBjockey81.5
Dima
lol what happened
Dima
where are the messages
klimi
Cleared
Anonymous
liked this..
Anonymous
Why thanx Admin, good to be here😇
Anonymous
Can anyone help me find targeted leads ????
BinaryByter
this would rank way up in "10 photos taken moments before disasters"
BinaryByter
Does your network work?
That one application doesnt, its prolly the strategy for inputting letters thats bad
klimi
Mhm
Marie
Monnu has 1/3 warnings... watch out! Reason for last warn: promoting YouTube and even don't link his yt channel
Samrat
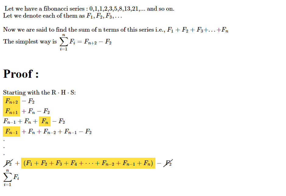
Guys, I was researching with fibonacci series ... And I came up with a conclusion .... Does anyone knows any article or proof behind it...?
Samrat
Say I have a series ... 0+1+1+2+3+5+8 .... The answer of this would be the two more digits (21) of this series minus the second term (1) i.e., 0+1+1+2+3+5+8 = 0,1,1,2,3,5,8,13,21 = 21-1 = 20
Samrat
And I have seen this is true for all the fibo series ....
Samrat
Nice
Yaa ... That's a magic of this series ... ☺️☺️☺️... But I need a proof regards this
Mat
And it's one of its mathematical properties
Samrat
And it's one of its mathematical properties
Could you have a link , where it's been proved..?
Mat
Nope, not right now
Aman
Could you have a link , where it's been proved..?
Similarly, it may be shown that the sum of the first Fibonacci numbers up to the nth is equal to the (n + 2)-nd Fibonacci number minus 1.[30] In symbols: {\displaystyle \sum _{i=1}^{n}F_{i}=F_{n+2}-1} Source - Wikipedia
Samrat
I have seen it is right if we change the first two terms also... 5+6+11+17+28 = 5,6,11,17,28,45,73 = 73-6 = 67
Aman
I have seen it is right if we change the first two terms also... 5+6+11+17+28 = 5,6,11,17,28,45,73 = 73-6 = 67
I got for (n+2)th term -1 https://proofwiki.org/wiki/Sum_of_Sequence_of_Fibonacci_Numbers
Samrat
0,1,1,2,3,5,8
Samrat
The second term
Kσϝɾα
Hi there. What is the best way to learn Qt please?
klimi
practise
Mat
Hi there. What is the best way to learn Qt please?
https://doc.qt.io/qt-5/gettingstarted.html
Mat
Learn to use your friend, internet
Mat
https://wiki.qt.io/Qt_for_Beginners
Kσϝɾα
Ok guy. Thanks
Spidey
void main() { int i; for(i=1;i<=72;i++) { printf("Happy independence day\n"); } printf("72nd independence day"); }
Spidey
What will be output😊
⠠⠍⠥⠓⠁⠍⠍⠁⠙⠽⠥⠎⠥⠋
GCC
no. I mean in which country independence day?
Spidey
India
⠠⠍⠥⠓⠁⠍⠍⠁⠙⠽⠥⠎⠥⠋
India
👍 congratulate
Dima
lol when I saw one more chinese text I thought it was that spam bot
klimi
okay, and what you want us to do with it?
Spidey
no. I mean in which country independence day?
Btw in the turbo c++ we have to type getch(); to break
Spidey
In GCC not
klimi
和它有什么关系?
⠠⠍⠥⠓⠁⠍⠍⠁⠙⠽⠥⠎⠥⠋
👍
⠠⠍⠥⠓⠁⠍⠍⠁⠙⠽⠥⠎⠥⠋
Aman
In GCC not
If u open your turbo c++ file in command prompt , then maybe u don't need to use getch().
klimi
🙄
whats wrong no name?
Dima
Dima
klimi
fail translation
it works xD
⠠⠍⠥⠓⠁⠍⠍⠁⠙⠽⠥⠎⠥⠋
whats wrong no name?
You know Chinese language?
klimi
nope
klimi
but maybe i should learn it
⠠⠍⠥⠓⠁⠍⠍⠁⠙⠽⠥⠎⠥⠋
How old are you?
Dima
learn japanese instead
s
okay, and what you want us to do with it?
page1 : The company has a powerful c++ library, which has been completed by hundreds of engineers for many years. You need to refactor from 32 to 64, and the compiler syntax does not recognize the problem. What do you do?
Dima
lol
klimi
learn japanese instead
im learning japanes exD
Dima
nice
Dima
so “hundreds of engineers” couldn’t make that “powerful library” future-proof for a many years?
Dima
WTF
s
page2: resignation. Don't let me teach you when I read the first comma.
s
google translation
klimi
@sx6691 你知道CZTJ大学吗?
Anonymous
This is the program i have written
Anonymous
And this is the output I want to remove that + aftee 15 in the output What should i do
Anonymous
Any good practice to deal with different glibc version? Because I want my program run on both centos6/7 etc.
Anonymous
I just want to show 1 + 3 + 5 + 7 + 9 + 11 + 13 + 15 Not 1 + 3 + 5 + 7 + 9 + 11 + 13 + 15 +
Anonymous
Using for loop only