Alexander
body => { string id }
Alexander
Как там делать?
Alexander
Ай, это лямбда
Alexander
Я забыл синтаксис анонимных
Alexander
delegate там чё-то
Alexander
да?
RA-TA-TATA
Крч создай модель
RA-TA-TATA
Где 1 свойство - ид
RA-TA-TATA
И принимай объект этот
RA-TA-TATA
И усе
Alexander
Так это я бы и без вас сделал
RA-TA-TATA
Туночка️
🤔дак мне надо скорость
Юзай тогда векторный графоний
👑OGURCHIK🖤
Юзай тогда векторный графоний
🤔мне картинки 32 на 32 сохранить просто
Туночка️
🤔мне картинки 32 на 32 сохранить просто
А хули ты блять паришься тогда нахуй 32 пиксельные картинки
👑OGURCHIK🖤
вот и хочу в словарь ключ значение занести по полному пути файла иконку что бы читать быстрее
Александр
Кто-нибудь использовал ASP.NET Core Identity, в частности PasswordValidator?
Настя Тютюнник
#вакансия #Спб Международная компания, крупный агрегатор авиабилетов, ищем в свою сильную и дружную команду Senior C# developer / Tech Lead. В группе большое количество туристических брэндов по всему миру. Филиал в Санкт-Петербурге занимается разработкой высоконагруженного ПО для нужд компаний группы. Обязанности: • Разработка ПО • Поддержка существующих проектов, рефакторинг • Взаимодействие с распределенной командой разработчиков в рамках проектов • Гибкий подход к разработке (не чистый скрам) Требования: • Опыт разработки на C# от 3-х лет • Разговорный уровень английского языка не ниже Upper Intermediate (необходимо общаться с коллегами из Кингстона и Банголора) • Примерный стек проектов: C#, .NET Core, MS SQL Server, Azure, RabbitMQ, Redis Условия: • Гибкое начало и окончание рабочего дня 5/2 • Официальное оформление по ТК РФ, полностью "белая" заработная плата, вилка до $3200 net • Офис в БЦ "Атлантик Сити", 5 мин. пешком от м. Беговая • Кофе, чай, печеньки, крутая команда:) По всем вопросам пишите @Nastya9618
ʞǝʌın
Тут нуфагам помогают пояснениями?
Илья
чотко
Илья
и по пацански
ʞǝʌın
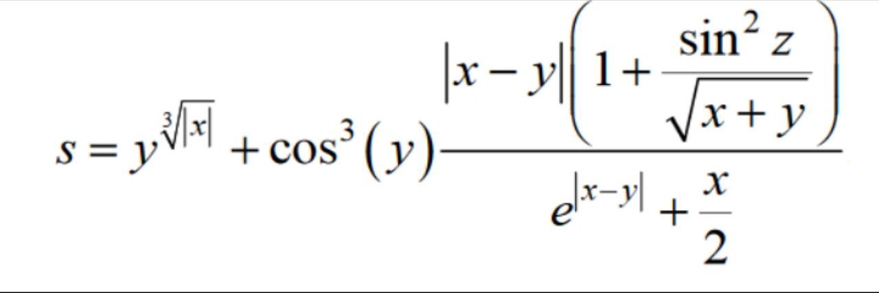
Как правильно написать эту формулу инструментами с#?
ʞǝʌın
ʞǝʌın
Мой кривой вариант
ʞǝʌın
Что здесь не так?
Илья
замени {} на () для начала
Илья
а дальше проверь - правильно ли ты их расставил
Илья
а так все норм
ʞǝʌın
замени {} на () для начала
У меня так стояло ибо ручной ввод, ему плевать на ( или {?
Илья
не плевать
Илья
вот и ругается
ʞǝʌın
Спасибо
ʞǝʌın
Просто в гайде было именно {}
Gopneg
гайд по матану был видимо
Keeytari
Всем привет! Ищу напарника для совместного проекта (В данный момент еще не знаю что можно пилить). Самое главная вещь - я делаю только десктоп приложухи. Кого заинтересовало пишите в лс)
Gopneg
пиарщик из тебя так себе
Keeytari
Какой пиарщик?) Я просто ищу человека, с которым можно будет проект сделать совместный)
Gopneg
какой блядь проект если никакого нет?
Keeytari
Любой)
Keeytari
Я думаю придумать что делать это не проблема)
Egor
Жизненный опыт подсказывает, что все такие начинания разбиваются от отсутствие мотивации через 2 недели - месяц
Gopneg
ну как придумаешь, свисти
Egor
Проще устроиться на вторую работу
Keeytari
Жизненный опыт подсказывает, что все такие начинания разбиваются от отсутствие мотивации через 2 недели - месяц
Что-то типо такого) Кризис у меня) Нет идей. Но прогаю на шарпе больше года уже
Keeytari
Нужны идеи)
Keeytari
Ну и хотелось бы просто поработать вместе, так как такого опыта не было)
Stas
Ну и хотелось бы просто поработать вместе, так как такого опыта не было)
На гитхаб зайди, выбери проект, выбири задачки, и делай их
Keeytari
Хочу с кем-то поработать вместе)
ʞǝʌın
double x = 1, y = 1, z = 1, e = 2.71828; try { x = Convert.ToDouble(txt1.Text); y = Convert.ToDouble(txt2.Text); z = Convert.ToDouble(txt3.Text); e = Convert.ToDouble(2.71828); double s = Math.Pow((y), Math.Pow(Math.Sqrt((Math.Abs(x))), 3)) + Math.Cos((y)) * ((Math.Abs((x) - (y))) * (1 + (Math.Pow(Math.Sin((z)), 2)) / Math.Sqrt((x) + (y))) / (Math.Pow(e, Math.Abs((x) + (y)) + (x) / 2))); txt4.Text = s.ToString("F3"); CS0136 - A local or parameter named 'e' cannot be declared in this scope because that name is used in an enclosing local scope to define a local or parameter WPFApp1 Что не так?
Stas
я с пк
И чё бля? А я не с ПК, ты сам себе тут вопросы задаёшь?
Stas
Да я чисто ему мозги поебать, ответ и без разбирательства этой хунты очевиден
Zahar
Всем привет! У меня вопрос по WPF. Нужно сделать также как на картинке внизу! Чтобы была полоса прокрутки, блоки стояли ровно и генерировались в зависимости от кол-ва товара, как можно сделать?
Zahar
👑OGURCHIK🖤
делаешь листбокс и в нем пункты грид с этими кнопками
Zahar
Спасибо!
Zahar
Но пункты будут идти по вертикали, а как сделать по горизонтали?
👑OGURCHIK🖤
или грид по вертикали или сделай сам весь пунк из 7 наборов
Zahar
Ясно, буду разбтраться!
👑OGURCHIK🖤
посмотри как кастомный айтем делать в листбоксе а там дальше уже на что фантазии хватит
Илья
Есть какие нибудь годные гайды для написания простого интерпретатора? например: create a = 5; create b = 10; add a 5; (=15) say a
Stas
Ммм давай поточнее вопрос
Илья
сейчас попробую
Stas
Я думаю хочешь деревья выражений)
Илья
есть текстовик с записью: create a = 5 (аналог int a = 5) create b = 10 add a 5 (a += 5) say a (Console.WriteLine(a))
Stas
Ну да
Илья
Смотрел деревья
Stas
Парсишь текст в деревья выражений, потом компилишь в делегат
Илья
Я так понял они реализуются таким образом => a.func1().func2().func3( )
Илья
т.е. подобие linq
Stas
Э нет, не путай Линк и лямбды
Stas
Лямбда ВЫРАЖЕНИЯ
Илья
могу путать