Сергей
а можно пример
Stas
@$"{st}/{val}" или string.Format или StringBuilder, или StringWriter
Сергей
ок благодарю
Anonymous
💦
Anonymous
💣
Anonymous
🌟
Anonymous
Всем доброе утро и продуктивного дня)
Olga
Добрый день! Уважаемые специалисты, рассматривает ли кто-либо из вас предложения по работе Fullstack Разработчик C# ? Прошу прощения, что вторглась🤗
Vyacheslav
Вилка 160-200к фулстек для уровня архитектор-сеньер . Как-то не особо впечатляет. Это для мидла получается 50-80 к а для юниора 10-20к. Просто шикарная щедрость.
Olga
#вакансия #Fullstack Разработчик C# Коротко о проекте: проект представляет из себя ряд веб-приложений для американского издательства, специализирующегося на издании различной литературы и справочников в области строительства. Компания успешно работает на этом рынке несколько десятилетий, и в настоящий момент активно выходит на онлайн рынок, разрабатывая ряд интернет-сервисов, предоставляющих доступ к накопленным данным и знаниям через интернет. Основные технологии: Backend-.NET (ASP.NET MVC Core, web services, REST API) MS SQL Server Azure Frontend - Knockout.js Плюсом будет знание Knockout.js, Durandal, Angular, TypeScript Требования: уверенные знания в перечисленном стеке технологий; отличные коммуникативные навыки и проактивность. Условия: возможна #удаленная работа из дома или в #офисе в СПб; работа с передовыми технологиями в интернациональной команде; конкурентная зарплата по результатам собеседования. Вилка 160-180К За подробностями обращайтесь, пожалуйста, в личку @OlgaFurs
🇪🇪 + Дионисий = ❤️
Добрый вечер. Возможно вы знаете по какой причине запрос Linq не видит обсервабл коллекцию из других файлов программы. Модификаторы везде паблик
Юрий
Не наезжаю, просто констатирую
Gopneg
ну так становись им
Юрий
ну так становись им
Обрати внимание, я здесь какого то черта нахожусь 😂
Юрий
Это проявление снобизма?
Gopneg
похуизма
Vyacheslav
В который раз замечтаю что программисты немножко зажрались
Контора реально не даст ничего ни софта ни железа ни оплаты за связь. Всё это вы купите за свои деньги. Они вам пришлют бесплатные тестовые задания. И может когда-то к вам потом обратятся, если им понадобится. Отправят вас к медикам на анализы за ваш счет. То есть в результате вы потеряете большую сумму, чем они предлагают .
Vyacheslav
Капли для глаз потом дороже обойдутся, чем заработате.
🇪🇪 + Дионисий = ❤️
Что это за вопрос вообще? Давай ещё раз но нормально
Есть Observable collection , в объекте 5 полей. Я создаю новый массив , через LINQ наполняю его первым полем из каждого класса и удаляю дубликаты. Этот массив а также эта коллекция не виден из других частей кода. Пишет ошибку - Инициализатор поля не может...
Stas
код давай
🇪🇪 + Дионисий = ❤️
код давай
https://gist.github.com/Denushaponov/df94f685d1cce047f1f7c641d04910c7
🇪🇪 + Дионисий = ❤️
код давай
156 строка
Stas
На интерпретаторе код выполняешь, чего он у тебя без проекта и решения?
Stas
вот здесь ёбу дал: public class Type
Stas
никогда не используё имена системных классов
🇪🇪 + Дионисий = ❤️
На интерпретаторе код выполняешь, чего он у тебя без проекта и решения?
я просто посчитал что так удобнее делиться кодом
Stas
а ладно
Stas
для этого есть pastebin, если ты делишься гипотетическим кодом
Stas
если конкретным проектом то github и т.д.
🇪🇪 + Дионисий = ❤️
если конкретным проектом то github и т.д.
Спасибо за полезуню инфу, как делиться кодом. Я переименовал Type, но дело не в нём, ошибка остаётся.
Stas
как и: namespace Powered_district, это ебланская нотация, почитай как правильно давать имена проектам
Stas
Ёпта
🇪🇪 + Дионисий = ❤️
Я догадывался) Я изучу как нужно)
Stas
вот смотри public ObservableCollection<Type> sortedTypes что это такое?
Stas
какой элемент объекта?
Stas
даю подсказку - это поле объекта Полям объекта можно присваивать значения после создания объекта, либо можно сразу указать на месте какое значение они будут иметь при создании объекта, для этого можно использовать литералы или статические методы, и конструкторы, они впринципе также стаические методы
Stas
но вот здесь public ObservableCollection<Type> sortedTypes = new ObservableCollection<Type>(dbnCommercialBuilding.Select(type => type.TypeOfCommercial).ToArray()); это поле которому ещё не присвоено значение, самое простое перетащить это присвоение в конструктор, к этому моменту объект будет уже создан
Stas
@travaselnaya Спрашивай что не понял
🇪🇪 + Дионисий = ❤️
@travaselnaya Спрашивай что не понял
Спасибо, Стас, буду пробовать через конструктор
Stas
Незачто, почитай как создаётся объект, когда инициализируются поля, на каком этапе вызывается конструктор, и в том числе что такое статический конструктор
Yury
Киньте плиз статьи или еще что то по лучшим практикам asp net core web api микросервисы. Просто обычно не приходилось начинать новые проекты с нуля, и хочется начать сразу лампово и правильно, скажем так указать правильное русло изначально. Либо какие то проекты, на которые можно ориентироваться.
Anonymous
🇪🇪 + Дионисий = ❤️
Здравствуйте, а можно с помощью обработчика событий динамически изменять передаваемый в textbox параметр? Цель сделать так чтобы единицы измерения подбирались, и отображались в зависимости от выбраного параметра в ComboBоx. И сразу передавались в новую коллекцию.
🇪🇪 + Дионисий = ❤️
чушь
Anonymous
Здравствуйте, у меня есть программа и телеграмм бот на которого приходят логины и пароли, но если в пароле символы по типу &$#, эти символы на телеграмм бота не приходят, есть люди которые могут это пофиксить, и сколько это будет стоить?
Anonymous
И правда красивая🍒
Anonymous
Тону 🤤
Anonymous
📦📦📦📦📦📦 English 🇺🇸 Full Pack discount ends tomorrow! Hurry up to buy the whole Full Pack for $ 600 before tomorrow. Russian 🇷🇺 Скидка на полный комплект завтра заканчивается! Успейте купить весь комплект за 600$ до завтра. https://t.me/AzorULTSeller_Bot
Anonymous
Покатался бы с такой?)
Stas
Anonymous
😇Ангел или 😈демон ?
Anonymous
📛📛📛📛📛 English 🇺🇸 The discount is valid for 4 more hours! Full Pack - 600$ Russian 🇷🇺 Скидка действует еще 4 часа! Full Pack - 600$ https://t.me/AzorULTSeller_Bot
Anonymous
Секси
Stas
Секси
Хуекси
Туночка️
зачем шарпистам тянок кидать
Туночка️
Yury
По Entity Framework кто то сможет подсказать. Я всегда когда описывал модели для миграций использовал атрибуты. Как можно оставить модель чистой, без атрибутов, и все это прописывать с помощью Fluent Api. К примеру, [MaxLength(9)] [Required] public string Name { get; set; }
Anonymous
Denis
мальчик, скажи, зачем такое сюда кидать
Юрий
Так канал ж свой рекламит
Denis
Anonymous
Красотка 😻
Denis
у него наверное спермотоксикоз
Denis
Подростет поймет, что нужны мозги а не красивое тело
Anonymous
Vitalii
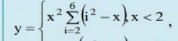
Подскажите пожалуйста, правильно ли я написал функцию?
Vitalii
Igor
Подскажите пожалуйста, правильно ли я написал функцию?
Похоже на правду. Но вас не смущает использование в качестве имени переменной зарезеовированного слова для определения переменных неявных типов?
Anonymous
Упругие😍
Denis
Упругие😍
всё таки сперматоксикоз
Anonymous
С такой бы попрыгал?)