кота
Здарова бот ебаный
fgntfg
чо там илон? раздаёт бетховены?
LISP
@Snusmumriken тут два бота думают, что их не забанят
Snusmumriken
Хе
Hello, World! 🎄
Ты начинаешь быть программистом, когда решаешь математические задачи кодом :D
Nikolai
Arslan
Hello, World! 🎄
Интересно, мой канал хотят взломать
Snusmumriken
Интересно, мой канал хотят взломать
Взлом жопы произведён успешно
Hello, World! 🎄
Взлом жопы произведён успешно
Мне интересно, как он это сделает, ведь я вроде не совсем дебил
Snusmumriken
А я вот сижу и делаю нормальный интерфейс для ffi-libcurl, потому что рулить всеми этими easy-perform'ами впадлу (multi-perform'ами тем более), а городить слои между luasocket-luasec ещё более впадлу.
Hello, World! 🎄
Маме пожалуется.
Самое обидное, что возможно в ютубе есть уязвимости, например xss (но это не точно)
Snusmumriken
Интересно, мой канал хотят взломать
> Комментарий открыт по ссылке Tobi trindetz, это была ХАКЕРСКАЯ ссылка.
Hello, World! 🎄
Самое обидное, что возможно в ютубе есть уязвимости, например xss (но это не точно)
у них всё равно абструфакция кода, так что новерно нет
Hello, World! 🎄
Snusmumriken
Всё равно trindetz
Hello, World! 🎄
Всё равно trindetz
Да, это просто конкурент какой-то, вот и пугает взломом
Hello, World! 🎄
Не чего так - нормальные примеры
LISP
Самое обидное, что возможно в ютубе есть уязвимости, например xss (но это не точно)
Да, мамкины какиры конечно знают все ноль-уязвимости ютуба, ага
Hello, World! 🎄
Что эт?
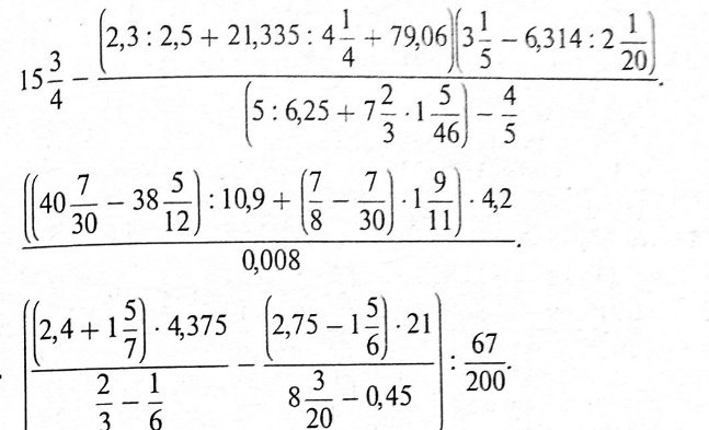
Это то, что я сейчас буду решать
Hello, World! 🎄
Выглядит не сложно
Да, но это долго решается
LISP
Да, но это долго решается
А, есть такое. Больше всего такие задачи не любил. Ошибся по глупости где-то на двенадцатом вычислении и пиздец.
Hello, World! 🎄
А, есть такое. Больше всего такие задачи не любил. Ошибся по глупости где-то на двенадцатом вычислении и пиздец.
У нас молодая преподша, она сама путается, так вот в шараге решали похожие задания, пол часа считали и она говорит, давайте на калькуляторе посчитаем - время съэкономим 👍😁
Hello, World! 🎄
И еще был пример в знаменателе 0.8 * 0.25, она умножила и получила 2, а я 0.2, в итоге +1 пример не правельно у неё, короче полная фигня
LISP
Как меня бесоёбит от такого
кота
шарага...
кота
ливай как среднее полное получишь
Hello, World! 🎄
ливай как среднее полное получишь
Среднее полное, это школа?
Hello, World! 🎄
(👁/_\👁)
кота
Или ты после 11 ушел?
Hello, World! 🎄
И сразу в колледж поступил, сейчас на 1 курсе
кота
Зря
fgntfg
Якуб Рожальски. 2021 Бука #digital_art
Nikolai
кота
Это заебись
кота
Только почему у тебя украина
Nikolai
Это кривой fwd
Nikolai
Когда там уже начнется
кота
У хохлов?
Nikolai
Да я слышал, везде, у меня товарищ в Мюнхене вчера рисовал
Nikolai
fgntfg
Не сиди под рутом
Nikolai
LISP
Ёж пизже
Domka
Добрый вечер
кота
Какой вечер, ночь уже
кота
Спать пора
кота
Еще полчасика и ложусь
Domka
Я ток встал
Domka
Какой спать
кота
Который у тебя час?
Domka
02 : 29
кота
02 : 29
Ну и зачем ты встал
кота
ночью спать надо
Domka
Ибо днем лег
кота
ну глупость сделал
кота
восстанавливай режим
Domka
Ну дай я mode 7 изучу
кота
Вставать в 7 и ложится в 12 будешь
кота
тогда дам
Domka
Я чот слепой или не слепой, мне вместо него вылазят модели телефоном и прочего
Hello, World! 🎄
Какой вечер, ночь уже
Есть такое понятие, как временные пояса 😂
Hello, World! 🎄
Hello, World! 🎄
Hello, World! 🎄
А преподша думала, что я сам буду решать задачу, ага ещё чего😂)
кота
Нихуя он умный
Nikolai
кота
наковального
кота
ХДДДДДД
Hello, World! 🎄