Anonymous
студенту знаю я таких студентов
Anonymous
врет он
Мне на самом деле любым , ибо шифровальщик это только кусок проекта - вообще AES вроде как быстрее
Alexey
В винде есть crypto api
У меня линух
Alexey
А а линуксе libcrypt
А как пользоваться ?
Где доки годные
Alexey
А гугл не?
Alexey
Я с телефона в дороге
Anonymous
ну вот берешь ХОР
Anonymous
ключ
Anonymous
и в перед
Alexander
man
ovf
gpg -o file.enc -c file
Anonymous
по байтно читай файл и работай
gpg -o file.enc -c file
Мне нужно что бы все это происходило именно в коде программы , gpg не совсем вариант
Alexey
Если хочешь сам, то rc4 хорошо документирован, хоть уже и слабый
babysitter
плюсую ксор
Alexey
Можно самому реализовать
А XOR можно файлы шифровать ?
Anonymous
хор для начала епт
Anonymous
пфффф
Anonymous
если ты хочешь рассылать криптолокер... то смотри в сторону AES 256 бит
Anonymous
😂 😉😉😉
Светомеч
ну вот берешь ХОР
шифрование ксором, серьезно?
Anonymous
да ладно 0_0 хором можно шифровать???
Anonymous
😂😂
Alexander
можно, в чем проблема?
Alexey
😂😂
Ты бываешь адекватным?)
Anonymous
нет
Светомеч
да ладно 0_0 хором можно шифровать???
Суть была в том, что не нужно
Мне не нужна сверхнадежность , мне нужно будет на публику шифрануть файл размером буквально в пару КБ (там будет png картинка , пару байтов текста , и еще что то )
Anonymous
тебе виднее
Anonymous
ну вот хор самое то
Alexander
😃
babysitter
Суть была в том, что не нужно
ну сделай ключ ксора не константым, можешь даже изменять его длинну
babysitter
а сид генератора рандома спрячь, уже не так просто
Прогуглил AES 256 , у кого есть примеры программ в который именно шифруется входной файл ?
babysitter
тся
Anonymous
string encryptDecrypt(const string &toEncrypt) { char key[3] = { 'K', 'C', 'Q' }; //Any chars will work, in an array of any size string output = toEncrypt; for (unsigned int i = 0; i < toEncrypt.size(); ++i) output[i] = toEncrypt[i] ^ key[i % (sizeof(key) / sizeof(char))]; return output; }
ovf
> sizeof(char)
Anonymous
не мое
Anonymous
притензии к автору
Anonymous
https://kylewbanks.com/blog/Simple-XOR-Encryption-Decryption-in-Cpp
Там string шифруется , а мне fstream нужен :(
Alexey
https://github.com/Urban82/Aes256
🦥Alex Fails
Ну сделай для фстрима
Anonymous
ну переделай
Anonymous
в чем причина
Anonymous
https://github.com/Urban82/Aes256
самое адекватное что видел
Пойду попробую , тогда туда надо передавать содержимое файла , а не string ?
Anonymous
имеено
Anonymous
ксттаи шас я тестану тоже
Светомеч
Там string шифруется , а мне fstream нужен :(
Это не сюда ли как раз недавно кидали статью на тему людей, не желающих обучаться и ищущих только готовое решение?
Эх , и нечего возразить
Anonymous
и скармливай функции
Anonymous
where is problem?
Anonymous
😁😁
Anonymous
Эх , и нечего возразить
кстати, ты уже выучил qt?
Anonymous
😁😁
Anonymous
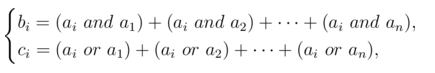
Что значит это условие?
Anonymous
надо найти массив a такой, что
кстати, ты уже выучил qt?
Кстать , да ) Ну как сказать выучил , годный GUI писать могу
Anonymous
Anonymous
Anonymous
надо найти массив a такой, что
Anonymous
Anonymous
Как понять?
1 книгу прочитал?
Я на практике , еще кингу по QT 5.2 читал
Anonymous
примерно за сколько выучил?
Я вроде кидал свой мини-проектик по Qt сюда
Anonymous
я не увидил значи
Ну я его еще не полностью знаю , еще очень много функций Qt я не умею , я его изучал чисто для работы с GUI , но думаю что и остальное то же при надобности подтянется , ибо Qt дико крутой фрейм