ttldtor
ошибка вроде бы такая же
ttldtor
кхм, я так часто использую хедер-онли, что забыл кое-что. Да, для extern надо явно инстанцировать в *.cpp с необходимыми параметрами шаблона.
ttldtor
так что там половина истории по твоей ссылке.
ttldtor
в общем, такая муть получается http://melpon.org/wandbox/permlink/ZO1Ss3QkglpUalwa
Square
http://faehnri.ch/have-fun/
ovf
ну тогда уж сразу надо давать ссылку на http://www.ioccc.org
Square
🦥Alex Fails
main(){printf(&unix["\021%six\012\0"], (unix)["have"]+"fun"-0x60);}
🦥Alex Fails
Ага
🦥Alex Fails
-орошо, что я сначала раскурил частично выражение, а потом прочитал статью
🦥Alex Fails
Потому что она – большой спойлер
Ned
я даже не знаю, кому адресовать этот вопрос: плюсовикам или асмщикам. можно ли утверждать, что pow(x,n) работает быстрее O(n)?
Ned
стандартная реализация подразумевает mathcall к соответствующей функции FPU твоего процессора
Stanislav
ну бедаа
Stanislav
я даже не знаю, кому адресовать этот вопрос: плюсовикам или асмщикам. можно ли утверждать, что pow(x,n) работает быстрее O(n)?
в целом нет, https://ru.wikipedia.org/wiki/%D0%90%D0%BB%D0%B3%D0%BE%D1%80%D0%B8%D1%82%D0%BC%D1%8B_%D0%B1%D1%8B%D1%81%D1%82%D1%80%D0%BE%D0%B3%D0%BE_%D0%B2%D0%BE%D0%B7%D0%B2%D0%B5%D0%B4%D0%B5%D0%BD%D0%B8%D1%8F_%D0%B2_%D1%81%D1%82%D0%B5%D0%BF%D0%B5%D0%BD%D1%8C
Stanislav
Например, при использовании схемы «слева-направо» быстрое возведение в степень n = 15 потребует выполнения трёх операций умножения и трёх операций возведения в квадрат, хотя возведение в 15-ю степень можно выполнить и за 3 умножения и 2 возведения в квадрат
Ned
так значит наоборот да
Ned
всяко быстрее О(n)
Ned
я это к чему...
Ned
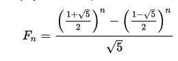
типа формула Бине для числа Фибоначчи
Stanislav
к чему? не думаю что создатели процессоров про это не в курсе)
Vladislav
pow из cmath должен работать за O(1) на большенстве платформ
Ned
просто если есть формула Бине, получается, что мы можем за О(1) получить n-ое число фибоначчи
Ned
однако она никак не ускорит дело для получения всех чисел фибоначчи до n-го
Vladislav
да, с поправкой на то что в double влезут только первые ~50, дальше точности не хватит
Stanislav
и придется городить bigdecimal арифметику самомоу, либо gmp юзать
Vladislav
и есть формула для фибоначи через матрицы, которая тоже ускоряется быстрым возведением в степень но остается в рамках целочисленной арифметики
Ned
а gmp не устарела в пользу подобной хуйни от boost?
Vladislav
в boost обертка, в том числе над gmp
Ned
orly?
Ned
обидно даже как-то
Vladislav
Boost.Multiprecision provides a selection of back ends provided off-the-rack in including interfaces to GMP, MPFR, MPIR, TomMath as well as its own collection of Boost-licensed, header-only back ends for integers, rationals and floats
Vladislav
ок, своя реализация тоже есть)
Stanislav
ну пушо под виндой тоже работает без наличия этого всего
Vladislav
и gmp из них самый быстрый для целых чисел: http://www.boost.org/doc/libs/1_60_0/libs/multiprecision/doc/html/boost_multiprecision/perf/int_real_world.html
Vladislav
(в miller-rabin тесте)
Ned
пинг, есть кто?
Vladislav
есть)
Dumitru
пинг, есть кто?
Доброе утро)
Ned
как отменить коммиты, которые попали в репозиторий?
Ned
то есть там больше коммитов чем надо, локально я сделал откат, внёс правки и теперь не могу push
Dumitru
Вроде никак, тем более это плохая практика
Ned
верхушка вашей текущей ветки позади её внешней части, все такое
Ned
сначала пулл, затем мёрж, затем пуш
Dumitru
Неприятная штука)
Ned
я так сделал, пулл, мёрж, откат, пуш, и снова
Ned
фаст-форвард
Ned
как заставить его сделать это?
Vladislav
git?
Dumitru
Не могу сходу вспомнить
Vladislav
git push —force
Ned
благодарю, решилось
Ned
будешь в России, дай знать, с меня коньяк
Ned
ты уже раз сто выручил
Vladislav
ok :)
Slach
Ребят, а есть тут кто нибудь из Минска, кто tcp \ web сервера на C++ под Linux писал? есть пара вопросов, довольно нюбских
Vladislav
в Минске какой-то особенный tcp или linux?)
Slach
не =) в Минске я человека потенциально к себе в команду схантить хочу =( уж простите, что так сразу, ибо дыра у меня знатная, сам я скриптовик (python+php+go+lua),а в проекте есть кусок, http сервер с кешем в памяти на запись он мне достался как легаси и человек который его саппортил ушел (отчасти в этом моя вина что не смог удержать =( и вот щас этот сервак начал течь по памяти =( я уже всякими gperftool и heaptrack пытался тречить и с оставшимися С++ программерами мы пытаемся найти че за фигня. но они все клиентщики ...
Dumitru
А лучше стараться не использовать new без умных указателей )
Slach
vallgrind при этом раз в 10 оверхед делает по скорости а течет оно в основном в проде =( а не на стенде...
Vladislav
еще в новом clang'е LeakSanitizer неплохой появился: http://clang.llvm.org/docs/LeakSanitizer.html
Slach
у меня к сожалению gcc в общем никого из Минска нет?
Slach
Так с помощью него можно отследить и устранить, потом в прод
течет в проде, тречить надо в проде в проде 3-4k rps на 16 процессов спасибо за совет, но конкретно vallgrind конкретно на проде, это не наш вариант мы его используем в стенде, но ничего путнего пока не нашли
Vladislav
есть кстати еще вариант что под нагрузкой течет из-за фрагментации хипа, я ловил такое в tensorflow. Помогло использовать jemalloc вместо системного аллокатора. В нем, кстати, тоже есть встроенный детектор утечек)
Anonymous
Посоветуйте пожалуйста книгу какую по 14-му/17-му стандарту. На военке делать нечего:(
Vladislav
Крылатый
Норм.
Крылатый
Сам его щас читаю.
ttldtor
майский драфт http://open-std.org/JTC1/SC22/WG21/docs/papers/2016/n4594.pdf